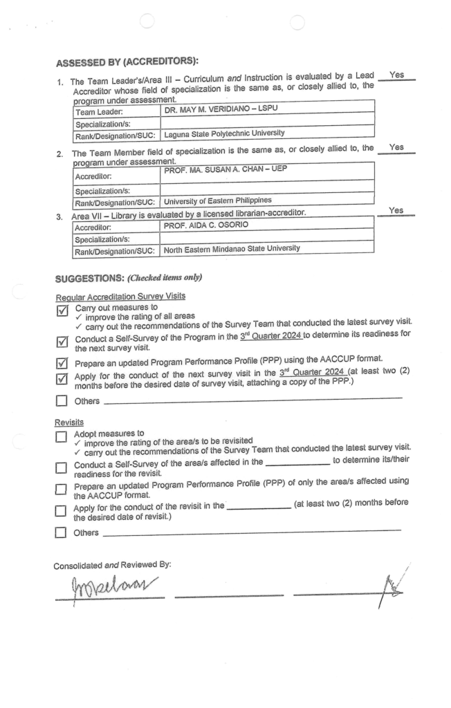
Accrediting Agency of Chartered Colleges and Universities in the Philippines (AACCUP), Inc. - Result 2021